Предмет: Математика,
автор: Ллина
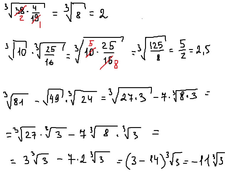
(1бал) вычислить значение и выражение ∛38 ∛4"/9(дробное четыре девятнадцатых )А) вычислить значение и выражение ∛10∛25/16(ТОЖЕ ДРОБНОЕ) Б)вычислить значение и выражение ∛81-√49*∛24
Ответы
Автор ответа:
0
А) ![sqrt[3]{38*4/19} = sqrt[3]{8} = 2 sqrt[3]{38*4/19} = sqrt[3]{8} = 2](https://tex.z-dn.net/?f=+sqrt%5B3%5D%7B38%2A4%2F19%7D+%3D++sqrt%5B3%5D%7B8%7D+%3D+2)
![sqrt[3]{10} sqrt[3]{25/16} = sqrt[3]{5*25/8} = frac{5}{2} = 2,5 sqrt[3]{10} sqrt[3]{25/16} = sqrt[3]{5*25/8} = frac{5}{2} = 2,5](https://tex.z-dn.net/?f=+sqrt%5B3%5D%7B10%7D+sqrt%5B3%5D%7B25%2F16%7D+%3D++sqrt%5B3%5D%7B5%2A25%2F8%7D+%3D++frac%7B5%7D%7B2%7D+%3D+2%2C5)
Б)
Б)
Автор ответа:
0
))))))))))
Автор ответа:
0
Если понравилось решение - нажимай "спасибо" и "лучший" (рядом с кнопкой "спасибо") :)
Приложения:
Похожие вопросы
Предмет: Математика,
автор: Аноним
Предмет: Қазақ тiлi,
автор: Аноним
Предмет: Физика,
автор: angelchannellive
Предмет: Математика,
автор: 5995000