Предмет: Математика,
автор: Aiman971
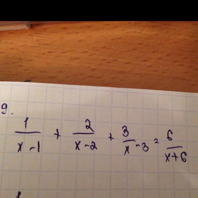
помогите плз срочно 1/х-1+2/х-2+3/х-3=6/х+6
Приложения:
Ответы
Автор ответа:
0
ну вот через лови ответ
Приложения:
Похожие вопросы
Предмет: Русский язык,
автор: Аноним
Предмет: Литература,
автор: Аноним
Предмет: Алгебра,
автор: Аноним
Предмет: Алгебра,
автор: lovesports