Предмет: Алгебра,
автор: Bodyya
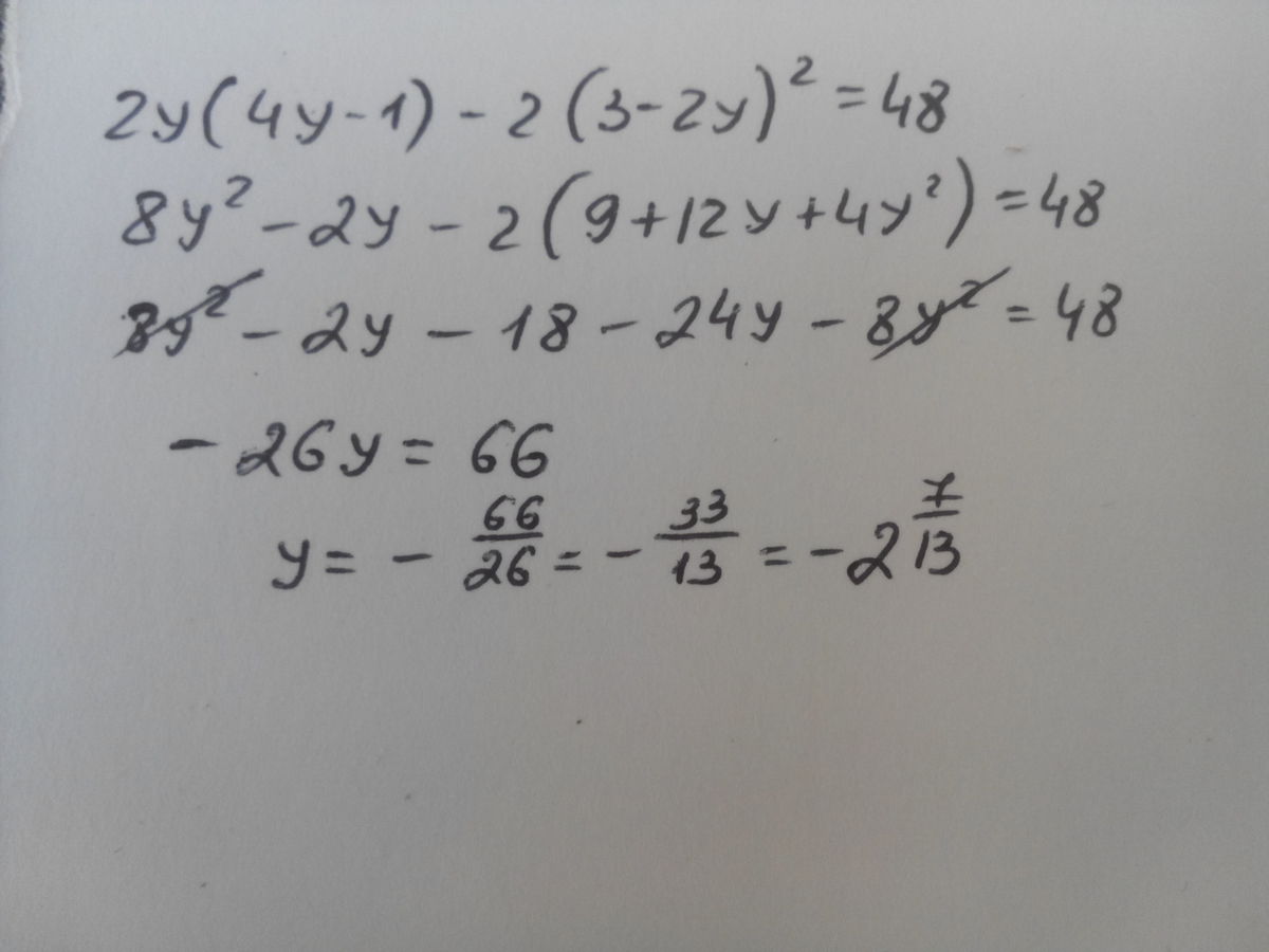
Решите уравнение
2y(4y-1)-2(3-2y)^2=48 (^2 в квадрате)
Ответы
Автор ответа:
0
............................
Приложения:
Автор ответа:
0
у меня ошибка
Автор ответа:
0
извини
Автор ответа:
0
y(4y-1)-(3-2y)^2=24
4у²-у-9+12у-4у²=24
11у=33
у=3
4у²-у-9+12у-4у²=24
11у=33
у=3
Приложения:
Похожие вопросы
Предмет: Алгебра,
автор: NatalySnegir
Предмет: Геометрия,
автор: Mia211
Предмет: Математика,
автор: alovaakata
Предмет: Математика,
автор: Darino4ka58
Предмет: Математика,
автор: farafonovaira