Предмет: Математика,
автор: ssuunnyy2013
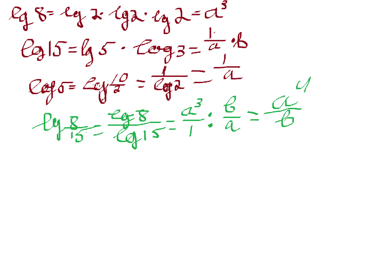
Найдите lg8/15, если lg2=a lg3=b
Помогите пожалуйста подробно
Ответы
Автор ответа:
0
.......................
Приложения:
Похожие вопросы
Предмет: Литература,
автор: bitazika102
Предмет: Английский язык,
автор: Аделія
Предмет: Английский язык,
автор: davydsanya2
Предмет: Математика,
автор: rowl