Предмет: Алгебра,
автор: BlackBlood19
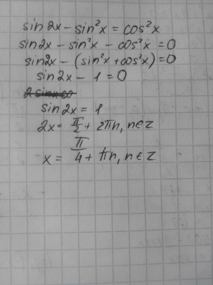
sin2x-sin^2x=cos^2x помогите срочно решить
Ответы
Автор ответа:
0
......... ...................
Приложения:
Автор ответа:
0
я уже не сфоткаю....но там будет так же только подели на 2 и просто sinx=1/2...и будет х=(-1)^nπ6+πn, nєz
Автор ответа:
0
Это в какой строчке поделить на 2?
Похожие вопросы
Предмет: Информатика,
автор: filimonovroma18
Предмет: История,
автор: RaDeR11
Предмет: Русский язык,
автор: tan1sa
Предмет: Биология,
автор: пфпфмр
Предмет: История,
автор: ТемныйПуть