Предмет: Алгебра,
автор: sanyok1996
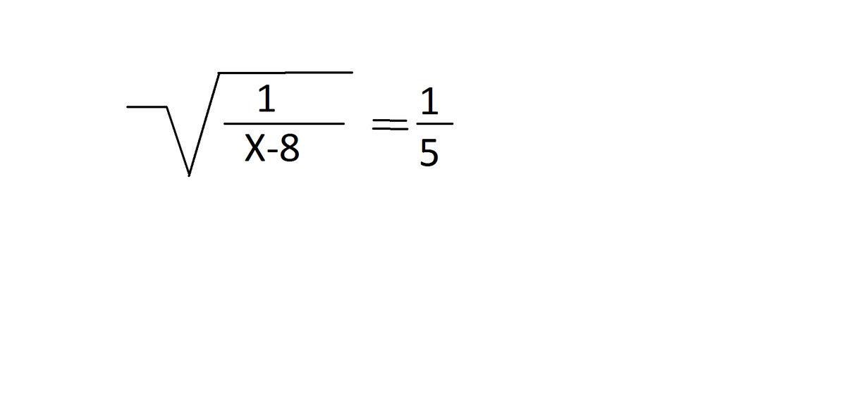
Проверьте пож уравнение!
Ответ 33 будет?
Приложения:
Ответы
Автор ответа:
0
все верно пиши ответ уверено
Похожие вопросы
Предмет: Українська мова,
автор: travkinamasa13
Предмет: Математика,
автор: aleksejsamojlovic10
Предмет: История,
автор: anastasiyadns178
Предмет: История,
автор: averycat
Предмет: Алгебра,
автор: nastenka1309