Предмет: Математика, автор: jeklin

ПОМОГИТЕ РЕШИТЬ ОПРЕДЕЛЕННЫЙ ИНТЕГРАЛ

Приложения:

Ответы

Автор ответа: NNNLLL54
0
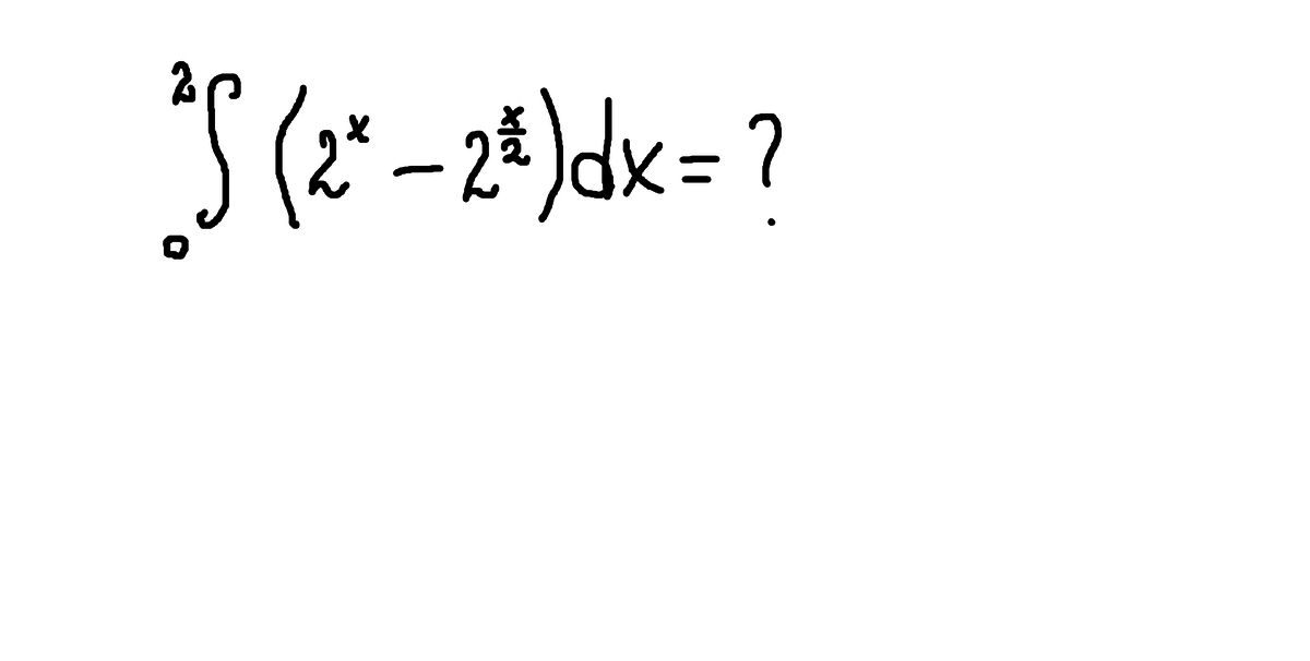
int _0^2(2^{x}-2^{frac{x}{2}})dx=int _0^22^{x}dx-int _0^22^{frac{x}{2}}dx=frac{2^{x}}{ln2}|_0^2-2int _0^22^{frac{x}{2}}cdot frac{1}{2}dx=\\=frac{2^2}{ln2}-frac{2^0}{ln2}-2int _0^22^{frac{x}{2}}cdot d(frac{x}{2})=frac{4}{ln2}-frac{1}{ln2}-2cdot frac{2^{frac{x}{2}}}{ln2}|_0^2=\\=frac{3}{ln2}-2(frac{2}{ln2}-frac{1}{ln2})=frac{3}{ln2}-frac{2}{ln2}=frac{1}{ln2}\\\int 2^{
frac{x}{2}}cdot d(frac{x}{2})=int 2^tcdot dt=frac{2^{t}}{ln2}+C=frac{2^{frac{x}{2}}}{ln2}+C
Автор ответа: NNNLLL54
0
d(x/2)=(x/2)'dx=1/2dx
Автор ответа: jeklin
0
а все,спасибоЮ,поняла
Автор ответа: jeklin
0
спасибо вам ОГРОМНОЕ,разобралась.Сидела над ним наверно часа3
Автор ответа: NNNLLL54
0
)))))
Похожие вопросы