Предмет: Алгебра,
автор: Аноним
короче, не шарю я в таких вот примерах, помогите, пжл
з.ы - если можно, то с объяснением
Приложения:
Ответы
Автор ответа:
0
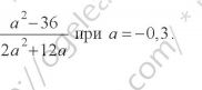
(a²-36)/(2a²+12a)=(a-6)(a+6)/2a(a+6)=(a-6)/2a
a=-0,3
(-0,3-6)/2·(-0,3)=-6,3/(-0,6)=10,5
a=-0,3
(-0,3-6)/2·(-0,3)=-6,3/(-0,6)=10,5
Автор ответа:
0
упростим выражение
(а-6)(а+6)/(2а(а+6))=(а-6)/(2а)
подставим а=-0,3
(-0,3-6)/(2*(-0,3))=-6,3/(-0,6)=10,5
(а-6)(а+6)/(2а(а+6))=(а-6)/(2а)
подставим а=-0,3
(-0,3-6)/(2*(-0,3))=-6,3/(-0,6)=10,5
Похожие вопросы
Предмет: Математика,
автор: sofia2733
Предмет: Математика,
автор: lubabelosickaa
Предмет: Химия,
автор: lobanovartemgame2005
Предмет: Алгебра,
автор: масяня3009