Предмет: Алгебра,
автор: u3iom4ik
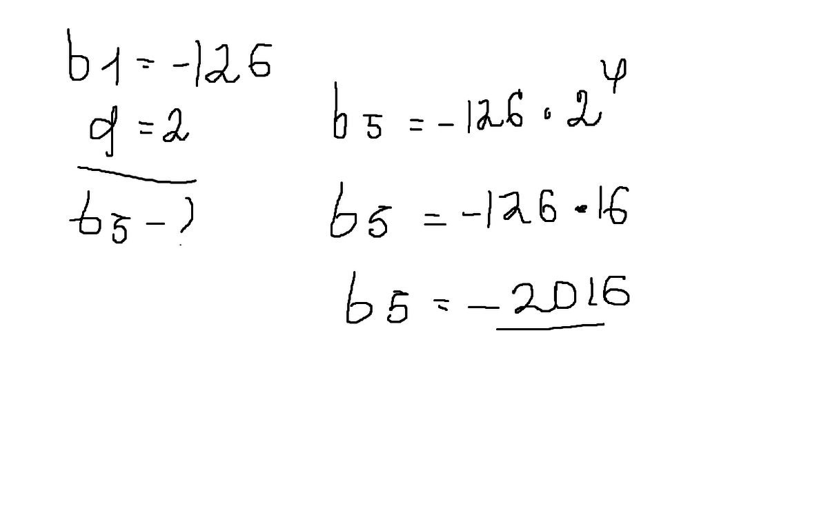
Геометрическая прогрессия B1=-126,q=2,Найти B5
Ответы
Автор ответа:
0
вот так должно быть :)
Приложения:
Автор ответа:
0
не так
Автор ответа:
0
это я со значениями напутала :) перерешала :)
Автор ответа:
0
Тут есть 2 способа.
1 способ: последующий находишь через предыдущий:
b₁ = -126, q = 2
b₂ = b₁ * q = -126 * 2 = -252
b₃ = b₂ * q = -252 * 2 = -504
b₄ = b₃ * q = -504 * 2₃ = -1008
b₅ = b₄ * q = -1008 * 2 = -2016
Ответ: b₅ = -2016
2 способ: через формулу n-члена.

n = 5 (т.к. нам нужен 5 член), тогда подставляем и решаем -

Ответ: b₅ = -2016
Выбирай лучший для себя ;-)
1 способ: последующий находишь через предыдущий:
b₁ = -126, q = 2
b₂ = b₁ * q = -126 * 2 = -252
b₃ = b₂ * q = -252 * 2 = -504
b₄ = b₃ * q = -504 * 2₃ = -1008
b₅ = b₄ * q = -1008 * 2 = -2016
Ответ: b₅ = -2016
2 способ: через формулу n-члена.
n = 5 (т.к. нам нужен 5 член), тогда подставляем и решаем -
Ответ: b₅ = -2016
Выбирай лучший для себя ;-)
Приложения:
Похожие вопросы
Предмет: История,
автор: nadyababicheva99
Предмет: Английский язык,
автор: Аноним
Предмет: Алгебра,
автор: Аноним
Предмет: Биология,
автор: shapieva84
Предмет: Литература,
автор: erthgm