Предмет: Математика,
автор: miralir
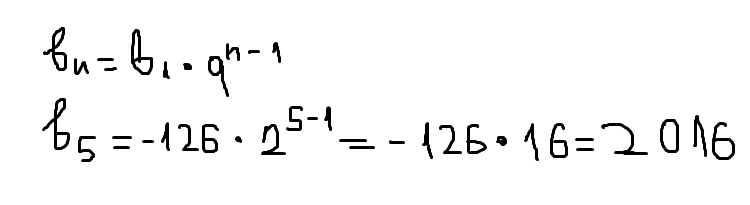
Дана геометрическая прогрессия (bn),знаменатель которой равен 2,b1 = -126.Найдите b5
Ответы
Автор ответа:
0
bn=b1*q^n-1
b5=-126*2^5-1=-126*2^4=-126*16=-2016
b5=-126*2^5-1=-126*2^4=-126*16=-2016
Приложения:
Похожие вопросы
Предмет: Биология,
автор: Аноним
Предмет: Английский язык,
автор: annabelket456
Предмет: Химия,
автор: izabellabruleeva
Предмет: Физика,
автор: Tanyaaaya