Предмет: Математика,
автор: shev72
площадь прямоугольного треугольника равна 8 корней из 3.один из острых углов равен 30 градусам.найдите длину гипотенузы
Ответы
Автор ответа:
0
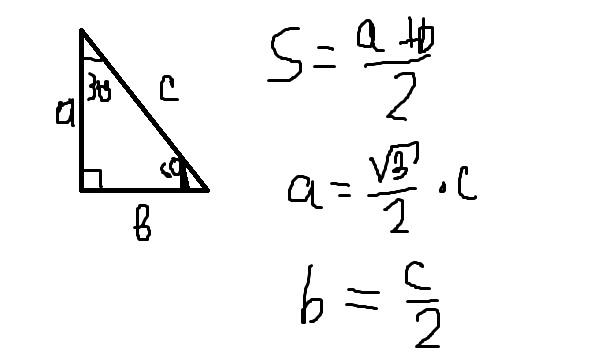
обозначим катеты (а) и (b), гипотенузу (с)
пусть против угла в 30 градусов лежит катет (а)
тогда с = 2а
по т.Пифагора
с² = a² + b²
4а² = a² + b²
3а² = b²
S = a*b / 2 = 8√3
ab = 16√3 -- можно возвести обе части равенства в квадрат)))
a² * b² = 16*16*3
a² * 3а² = 16*16*3
a² * а² = 16*16
a² = 16
а = 4
с = 8
пусть против угла в 30 градусов лежит катет (а)
тогда с = 2а
по т.Пифагора
с² = a² + b²
4а² = a² + b²
3а² = b²
S = a*b / 2 = 8√3
ab = 16√3 -- можно возвести обе части равенства в квадрат)))
a² * b² = 16*16*3
a² * 3а² = 16*16*3
a² * а² = 16*16
a² = 16
а = 4
с = 8
Автор ответа:
0
сторона лежащая напротив угла30, равняется половине гипотенузы, а сторона лежащая напротив угла 60 равна (корню из 3/2)*с
Приложения:
Похожие вопросы
Предмет: История,
автор: duduugu769
Предмет: Французский язык,
автор: sone4kapa4an
Предмет: Геометрия,
автор: nastya978985
Предмет: Математика,
автор: Tahay
Предмет: Физика,
автор: kibeshelina