Предмет: Алгебра,
автор: Аноним
решите пожалуйста )))разложите нарешите пожалуйста )))
разложите на множители:
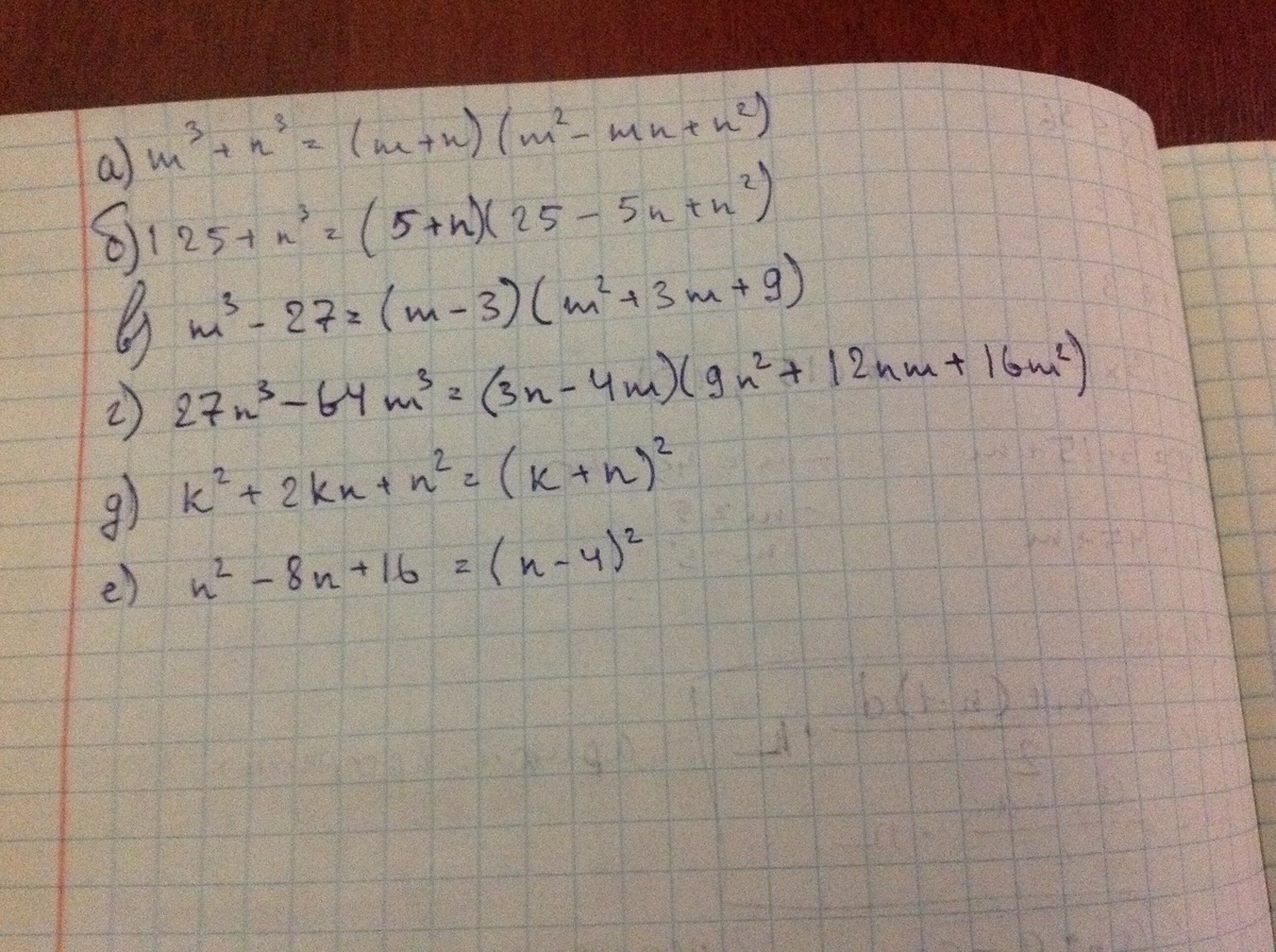
а) m^3+n^3
б) 125+n^3
в) m^3-27
г) 27n^3-64m^3
д) k^2+2kn+n^2
е) n^2-8n+16
Ответы
Автор ответа:
0
Вооот, по идее правильно
Приложения:
Похожие вопросы
Предмет: Математика,
автор: Аноним
Предмет: Литература,
автор: asylaikenzhebai
Предмет: Алгебра,
автор: Аноним
Предмет: Математика,
автор: Машуничка111