Предмет: Алгебра, автор: Čurák

Упростите выражение, распишите решение

Приложения:

Ответы

Автор ответа: 12345Julia12345
0
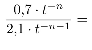
= frac{ frac{7}{10}* frac{1}{ t^{n} }  }{ frac{21}{10}* frac{1}{ t^{n}*t }  } = frac{7*10* t^{n}*t }{10*21* t^{n} } = frac{t}{3}
Приложения:
Похожие вопросы
Предмет: Английский язык, автор: ajhanymajhanym1