Предмет: Алгебра,
автор: Санджиев
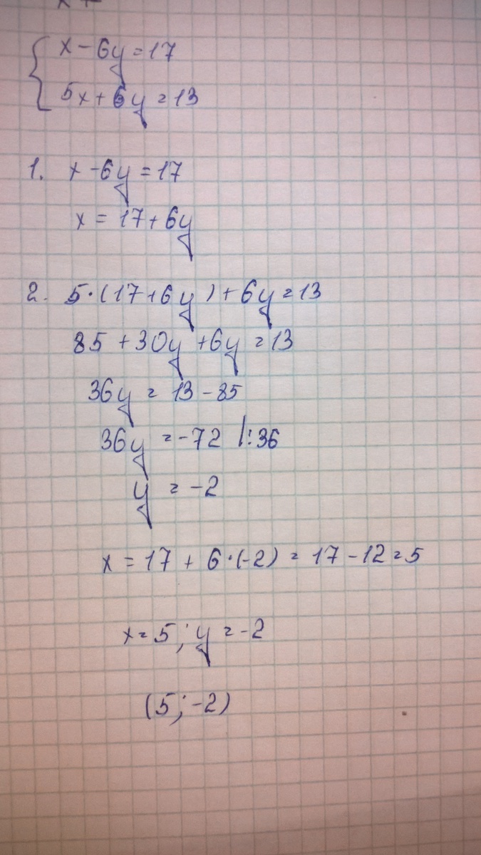
Найдите решение системы уравнений
а) х-6у=17
5х+6у=13
Ответы
Автор ответа:
0
Я бы решил систему так:
Приложения:
Автор ответа:
0
Вроде так ;))
Сначала выражаем х, потом его подставляем и решаем отдельно уравнение.
А дальше просто находим у и подставляем его уже в выраженный х.
И получаем, что у=-2, а х=5
Сначала выражаем х, потом его подставляем и решаем отдельно уравнение.
А дальше просто находим у и подставляем его уже в выраженный х.
И получаем, что у=-2, а х=5
Приложения:
Похожие вопросы
Предмет: Математика,
автор: makpalkeldebek
Предмет: Физика,
автор: ayyanvam09
Предмет: Литература,
автор: aselsaduova0
Предмет: Физика,
автор: kristinabyby