Предмет: Алгебра,
автор: Аноним
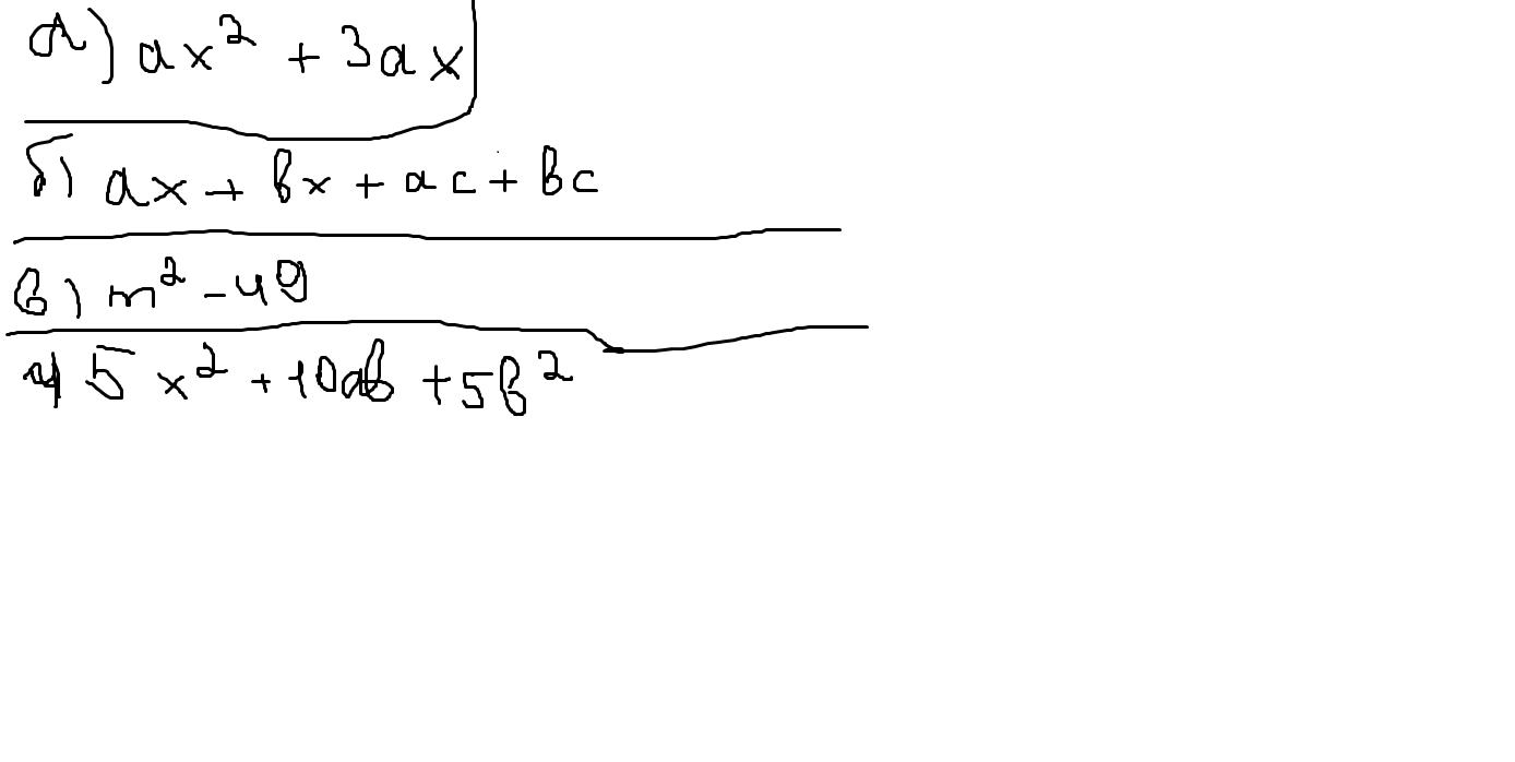
РАЗЛОЖИТЬ НА МНОЖИТЕЛИ
ОТКРОЙТЕ ВЛОЖЕНИЕ
Приложения:
Ответы
Автор ответа:
0
=ах(х+3)
=ах+ас+bх+bс=a(x+c)+b(x+c)=(a+b)(x+c)
=m^2-7^2=(m-7)(m+7)
=5(a^2+2ab+b^2)=5(a+b)^2
Похожие вопросы
Предмет: Математика,
автор: 87077768474zz
Предмет: Алгебра,
автор: Аноним
Предмет: Математика,
автор: Аноним
Предмет: Геометрия,
автор: Аноним
Предмет: Математика,
автор: wlad2312