Предмет: Математика,
автор: marashilo
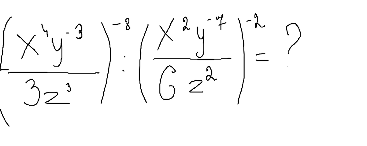
прошу решите и расспешите все
Приложения:
Ответы
Автор ответа:
0
Проверяйте самостоятельно)
Приложения:
Автор ответа:
0
У вас пропали минусы степеней в 3 строке. Вы перевернули дроби, избавились от главного минуса всей дроби. Но это не избавляет от минусов в самой дроби.
Автор ответа:
0
Окей, и вам приятных)
Автор ответа:
0
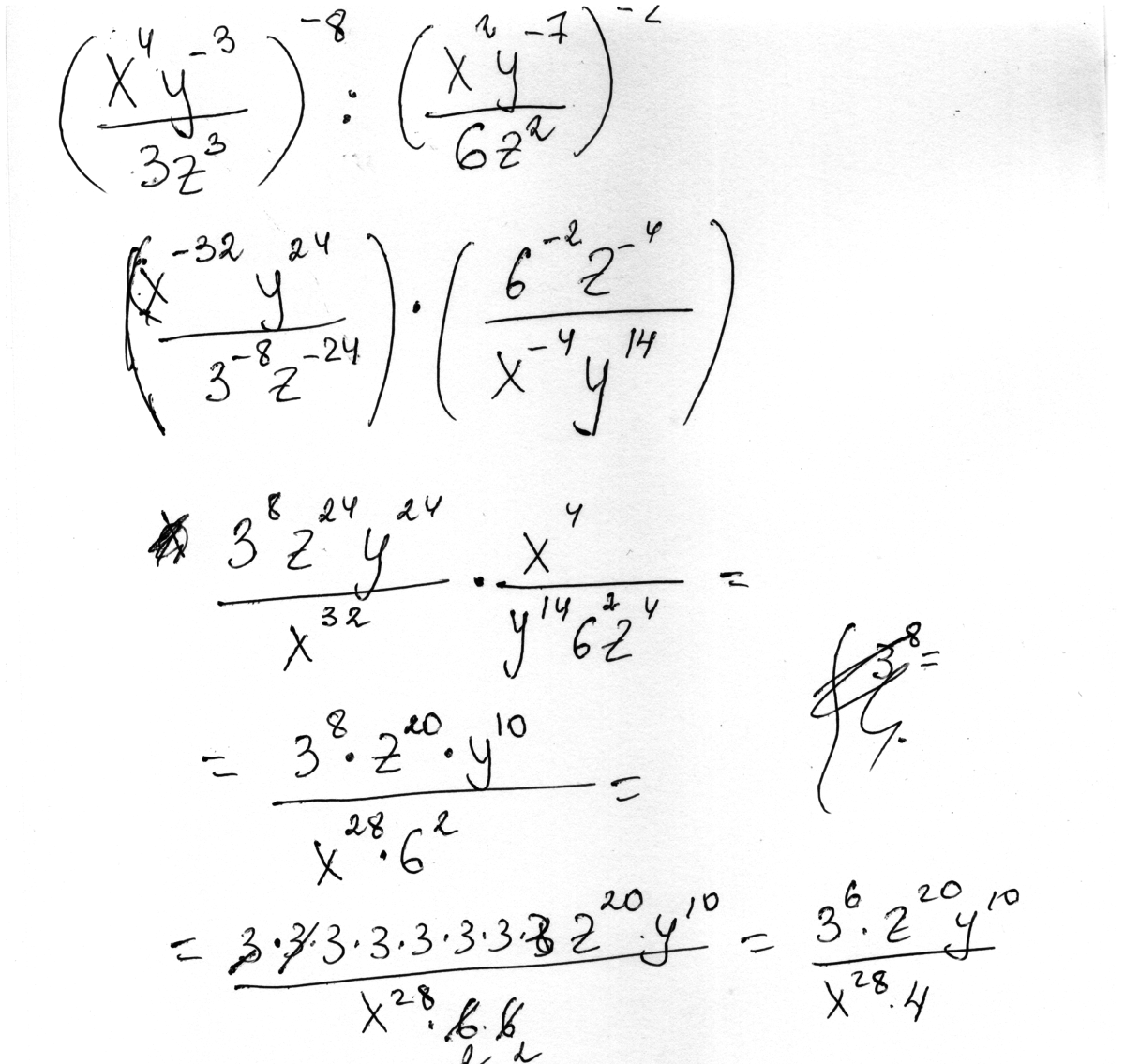
Для начала разберемся с первой дробью.
Если она в -8 степени, то переворачиваем ее и возводим и числитель и знаменатель в 8 степень.
Числитель(!!!перевернутой дроби!!!) : 3^8 * z^24
Знаменатель : x^32 * y^-24
Со второй дробью делаем тоже самое.
Числитель(!!!перевернутой!!!) : 6^2 * z^4
Знаменатель : x^4 * y^-14.
Теперь делим одну дробь на вторую(значит переворачиваем вторую дробь назад.)
Итак:
(3^8 * z^-24/x^32 * y^-24)*(x^4 * y^-14/6^2 * z^4).
После преобразований получаем выражение:
(3^6 * z^-28 * x^-28 * y^10)/4
(знак "^" означает возведение в степень)
Вроде все верно.
Если она в -8 степени, то переворачиваем ее и возводим и числитель и знаменатель в 8 степень.
Числитель(!!!перевернутой дроби!!!) : 3^8 * z^24
Знаменатель : x^32 * y^-24
Со второй дробью делаем тоже самое.
Числитель(!!!перевернутой!!!) : 6^2 * z^4
Знаменатель : x^4 * y^-14.
Теперь делим одну дробь на вторую(значит переворачиваем вторую дробь назад.)
Итак:
(3^8 * z^-24/x^32 * y^-24)*(x^4 * y^-14/6^2 * z^4).
После преобразований получаем выражение:
(3^6 * z^-28 * x^-28 * y^10)/4
(знак "^" означает возведение в степень)
Вроде все верно.
Приложения:
Автор ответа:
0
а ответ я так и не поняла какой
Автор ответа:
0
прикрепил рисунок с ответом.
Похожие вопросы
Предмет: История,
автор: povezipozalujsta906
Предмет: Физика,
автор: artemserduk52
Предмет: Қазақ тiлi,
автор: sobdhdvfbd
Предмет: Математика,
автор: ORbit12