Предмет: Математика,
автор: Okeuu
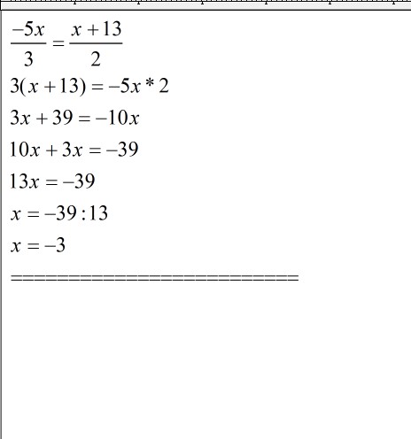
розв'язати рівняння -5х/3 = х+13/2
пожалуста помогите
Ответы
Автор ответа:
0
=====================
Приложения:
Похожие вопросы
Предмет: Математика,
автор: aminaimagambetova
Предмет: Математика,
автор: gulka083gulka
Предмет: Английский язык,
автор: maxlimovskiy
Предмет: Физика,
автор: kamilaburkit