Предмет: Алгебра,
автор: KatkaM
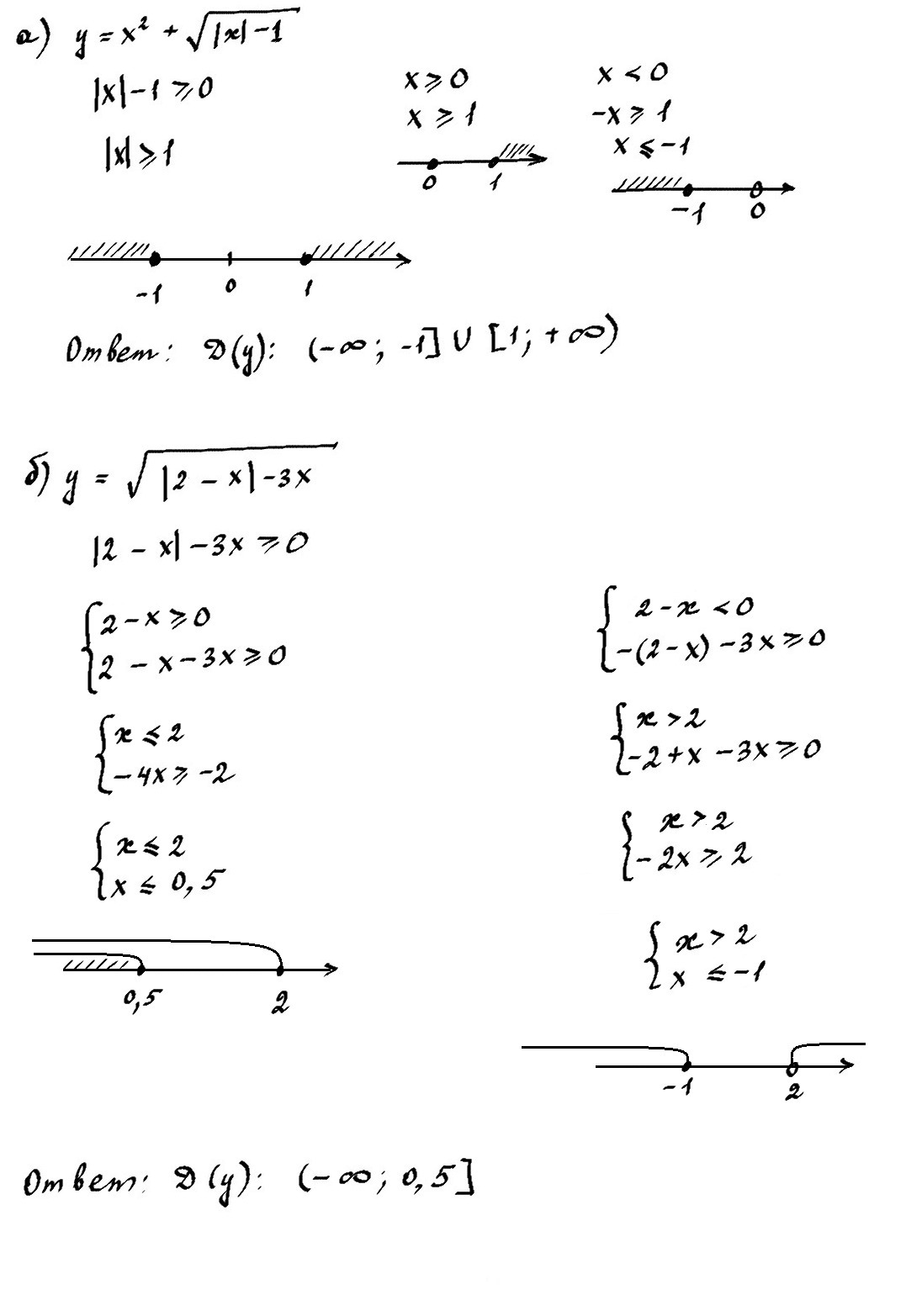
укажите область определения функции заданной формулой
а)
б)
помогите пожалуйста. и объясните)
Ответы
Автор ответа:
0
Решение в прикрепленном файле.
При раскрытии модуля, пользуемся определением модуля:

При раскрытии модуля, пользуемся определением модуля:
Приложения:
Похожие вопросы
Предмет: История,
автор: Аноним
Предмет: Қазақ тiлi,
автор: sagizansamal
Предмет: Русский язык,
автор: lilinuli
Предмет: Геометрия,
автор: А1А2А3