Предмет: Математика,
автор: Eldd
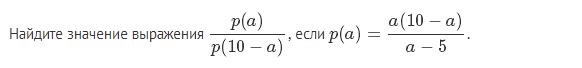
Найдите значение выражения p(a)/p(10−a), если p(a)=a(10−a/)a−5.
Приложения:
Ответы
Автор ответа:
0
p(10-a)=(10-a)(10-10+a)/(10-a-5)=(10-a)a/(5-a)
p(a)/p(10-a)=a(10-a)/(a-5) : (10-a)a/(5-a)=a(10-a)/(a-5) =(5-a)/(10-a)a=-1
p(a)/p(10-a)=a(10-a)/(a-5) : (10-a)a/(5-a)=a(10-a)/(a-5) =(5-a)/(10-a)a=-1
Похожие вопросы
Предмет: Биология,
автор: alesapasecnikova1
Предмет: История,
автор: karisohman
Предмет: Кыргыз тили,
автор: Аноним
Предмет: Математика,
автор: vdsa145
Предмет: Химия,
автор: Marle