Предмет: Химия,
автор: wdcv19
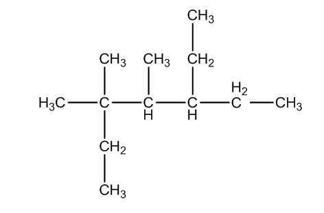
Помогите, плиз! Назвать вещество по систематической номенклатуре IUPAC:
Приложения:
Ответы
Автор ответа:
0
3,3,4-триметил-5-этилгептан
Похожие вопросы
Предмет: Химия,
автор: ranonisanova54
Предмет: Физика,
автор: safinakurbanova895
Предмет: Информатика,
автор: ofnik9
Предмет: Физика,
автор: симакина
Предмет: История,
автор: pamparam228popirosim