Предмет: Алгебра,
автор: ekaterinaevsti
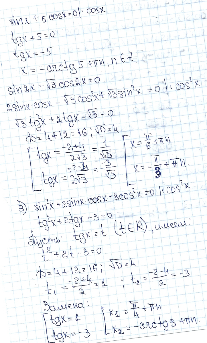
Помогите решить тригонометрические уравнения
1)sin x+5cos x=0
2)sin 2x-корень из 3*cos 2x=0
3)sin^2 x+2sinx*cosx-3cos^2x=0
4)9cos^2x=4sinx*cosx=1
Ответы
Автор ответа:
0
Решение во вложения, удачи))))
Приложения:
Автор ответа:
0
Огромное спасибо,очень выручили:))
Автор ответа:
0
=)
Похожие вопросы
Предмет: Другие предметы,
автор: aruajnurmahan35
Предмет: Химия,
автор: Аноним
Предмет: Қазақ тiлi,
автор: abzal67
Предмет: Геометрия,
автор: 10августа
Предмет: Биология,
автор: shipu4ka2000