Предмет: Математика,
автор: AMINAalina2002a
ПОМОГИТЕ!
Выполните действие на картинке.
Приложения:
Ответы
Автор ответа:
0
Вот решение Твоего задания лайкнеш мой ответ ладно буду благодарен.
Приложения:
Автор ответа:
0
Почему вы сделали сначала вычитание, а уж потом деление? порядок действий другой
Автор ответа:
0
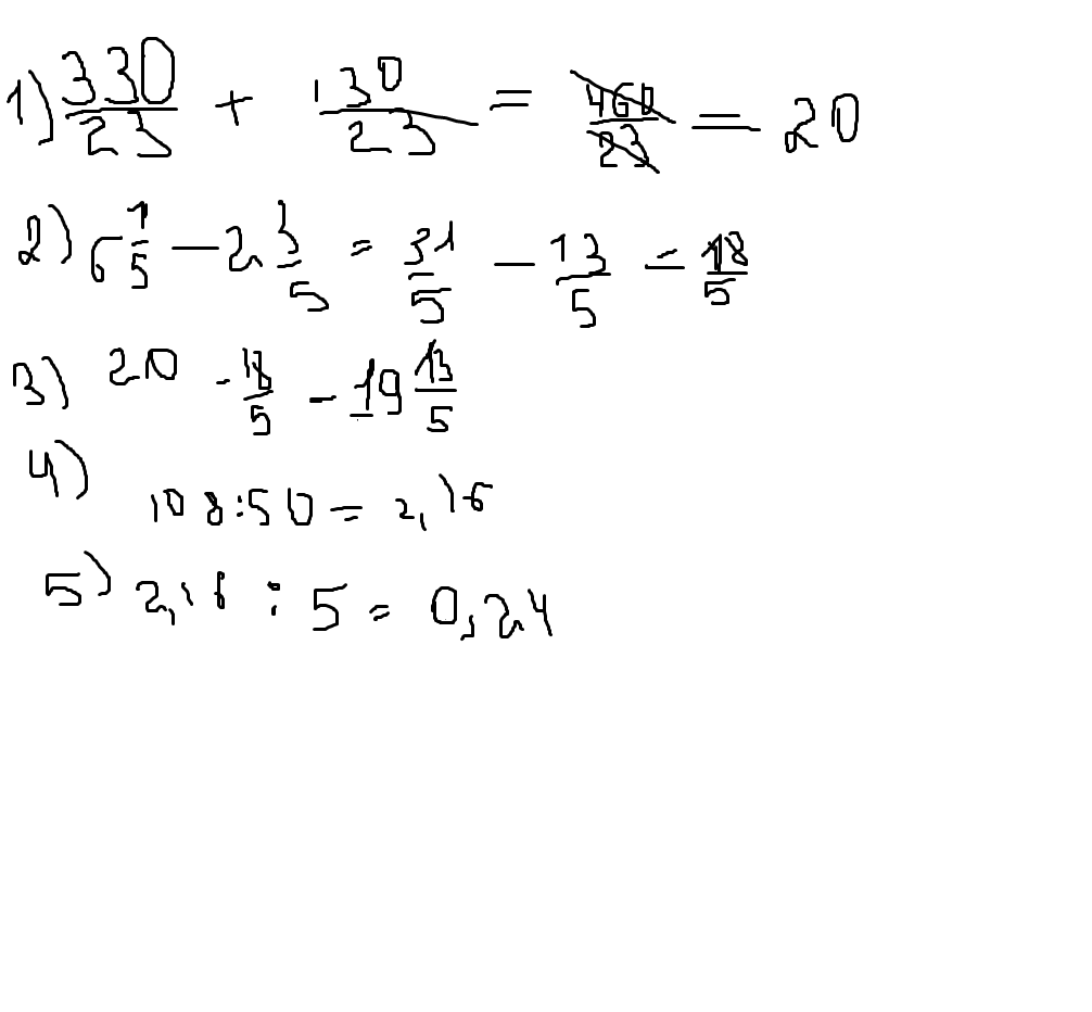
50:(14 8/23 + 5 15/23)-(6 1/5-2 3/5):9=
50:(19 23/23)-(31/5- 13/5):9=
50:20-18/5 :9=
5/2-2/5=21/10=2 1/10
50:(19 23/23)-(31/5- 13/5):9=
50:20-18/5 :9=
5/2-2/5=21/10=2 1/10
Приложения:
Автор ответа:
0
Все понятно?
Похожие вопросы