Предмет: Математика,
автор: wirusjeka
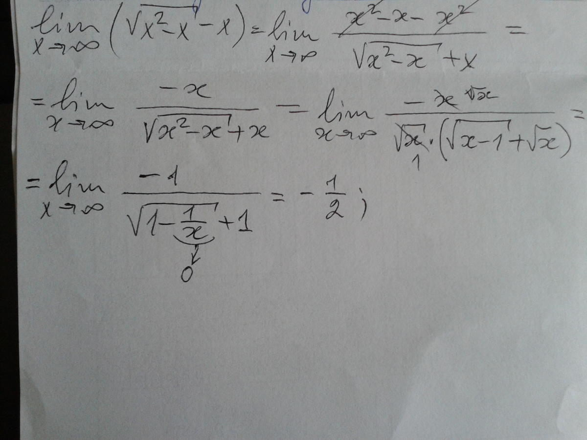
прошу помощи по пределам
нужно срочно!
Приложения:
Ответы
Автор ответа:
0
Вложение ........................................
Приложения:
Похожие вопросы
Предмет: Русский язык,
автор: angarovasirzan
Предмет: Математика,
автор: polinasemenova02
Предмет: Химия,
автор: ksergeev500
Предмет: Математика,
автор: rozaislamova1
Предмет: Обществознание,
автор: Liza19992013