Предмет: Алгебра, автор: kiwi777666

помогите срочно надо!!!!!!!!!!!

Приложения:

Ответы

Автор ответа: FalseKinG
0

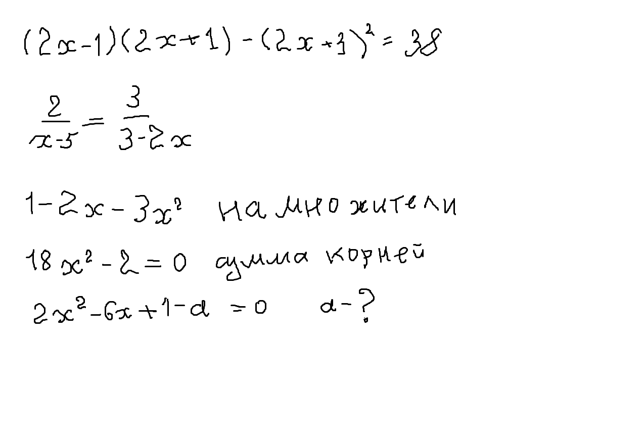
1)(2х-1)(2х+1)-(2х+3)^2 =38

4x^2 - 1 - 4x^2 -12x - 9 =38

-12x=38+10

-12x=48

x=-4

Ответ: -4.

2) 2/(х-5) = 3/(3-2х)

Избавимся от знаменателя, общий знаменатель (х-5)(3-2х)

2(3-2х)=3(x-5)

6-4x=3x-15

6+15=3x+4x

7x=21

x=3

Ответ: 3

3) 1-2х - 3х^2 - это квадратное уравнение, для того, чтобы разложить на множители, прировняем к нулю и найдем корни

-3x^2 -2x +1 =0

3x^2 + 2x-1=0

D=4+4*3=4+12=16

x1=(-2+4)/6=2/6=1/3

x2=(-2-4)/6=-1

Теперь запишем разложение

1-2х - 3х^2= -3(x-1/3)(x+1)=(1-3х)(x+1)

4) 18х^2 -2 =0

 2(9x^2 - 1)=0

2 (3x-1)(3x+1)=0

  x= 1/3     x=-1/3

1/3 + (-1/3) = 0

Ответ: 0.

 5) 2x^2 -6x+ 1-a=0

Найдём дискриминант

D=36-8(1-a)=36-8+8a=28+8a=4(7+2a)

4(7+2a)geq0

2ageq-7

ageq-3,5

Ответ: ageq-3,5

Необходимо все проверить, т.к. я мог ошибиться! 

Автор ответа: ИринаАнатольевна
0

1) (2x-1)(2x+1)-(2x+3)^2=38

4x^2-1-4x^2-12x-9=38

-12x-10=38

-12x=38+10

-12x=48

x=48:(-12)

x=-4

Ответ: -4.

 

2) frac{2}{x-5}=frac{3}{3-2x}

ОДЗ: xneq5; xneq1,5

2(3-2x)=3(x-5)

6-4x=3x-15

3x+4x=6+15

7x=21

x=21:7

x=3

Ответ: 3.

 

3) 1-2x-3x^2=1-3x x-3x^2=(1 x)-3x(1 x)&lt;/var&gt;=(1 x)(1-3x)</p> <p> </p> <p>4) <img src=[/tex]18x^2-2=0" title="1-2x-3x^2=1-3x+x-3x^2=(1+x)-3x(1+x)=(1+x)(1-3x)" title="18x^2-2=0" title="1-2x-3x^2=1-3x+x-3x^2=(1+x)-3x(1+x)=(1+x)(1-3x)" alt="18x^2-2=0" title="1-2x-3x^2=1-3x+x-3x^2=(1+x)-3x(1+x)=(1+x)(1-3x)" />

 

4) 1-2x-3x^2=1-3x+x-3x^2=(1+x)-3x(1+x)&lt;/var&gt;=(1+x)(1-3x)

 

4) <var>18x^2-2=0" /&gt; /:18</var></p>
<p>[tex]x^2-frac{1}{9}=0

по теореме Виета:

x_1+x_2=0

Ответ: 0.

 

5) 2x^2-6x+1-a=0

D=(-6)^2-4cdot2cdot(1-a)=36-8+8a=28+8a

28+8ageq0

8ageq{-28}

ageq{-28}:8

ageq{-3,5}

Ответ: [-3,5;infty)

 

Похожие вопросы
Предмет: История, автор: Аноним