Предмет: Геометрия, автор: Sn1ck

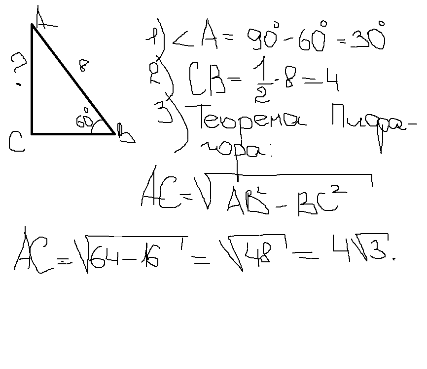
Гипотенуза прямоугольного треугольника равна 8 см.Найдите катет этого треугольника который лежит против угла 60 градусов

Ответы

Автор ответа: LeraLom
0
Катет лежащий напротив угла в 30 градусов равен половине гипотенузы.
Приложения:
Автор ответа: Sn1ck
0
Спасибо ^_^
Похожие вопросы
Предмет: Английский язык, автор: NataKlimchuk
вирішіть будь ласка!!!!!
Choose the best options to complete the sentences.

1) in baseball, the piece of equipment used to hit the ball is called a ______.
a) bat
b) stick
c) base

2) An eating plan in which someone eats less food, or only particular types of food, because
they want to become thinner or for medical reasons.
a) vegetarian
b) diet
c) foodie

3) She played soccer as an ______ before turning professional.
a) amateur
b) spectator
c) referee

4) To enter into something, such as a hobby or sport means to _______.
a) give up
b) take up
c) fly out

5) The ability or strength to keep doing something for a long time.
a) stamina
b) push
c) rush

6) The doctors told me to ______
red meat.
a) cut back on
b) hang out
c) keep up

7) She ________
in seven different countries, so she knows a lot about different cultures.
a) lived
b) has lived
c) has been living

8) Did you know he's been teaching German _______ fifteen years?
a) for
b) before
c) since

9) Which sentence is incorrect?
a) We've not eating cakes and chocolates.
b) She's not been working very hard recently.
c) I haven't been sleeping well lately.

10) In which sentence can you write having?
a) I stopped work _______
a cup of coffee.
b) ________
children will change your life.
c) Fiona decided ________
a shower after dinner.

11) In which sentence can you write to go?
a) I'm interested in ________
to the flower show.
b) ________
to the gym will keep you fit.
c) I prefer ________
to the theatre rather than to the cinema.

12.I eat ________ a big chocolate cake a day but I stopped three years ago.
a) used to
b) be used to
c) get used to
Предмет: История, автор: dimapigunov
Предмет: Қазақ тiлi, автор: Аноним
Предмет: Геометрия, автор: maxi1999bel