Предмет: Алгебра,
автор: ierokhinanata
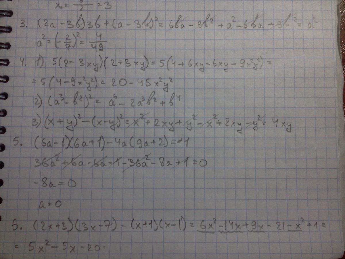
Пожалуйста, очень срочно.Желательно решить всё.
Приложения:
Ответы
Автор ответа:
0
надеюсь почерк более-менее понятен)
пы.сы. в 2. 1) забыла дописать скобку
пы.сы. в 2. 1) забыла дописать скобку
Приложения:
Похожие вопросы
Предмет: Литература,
автор: kykyryzka2809
Предмет: Математика,
автор: samusenkodarya83
Предмет: Английский язык,
автор: muramjetis
Предмет: Физика,
автор: полиночка2431