Предмет: Алгебра,
автор: OwoshNiko
Решите квадратное неравенство:
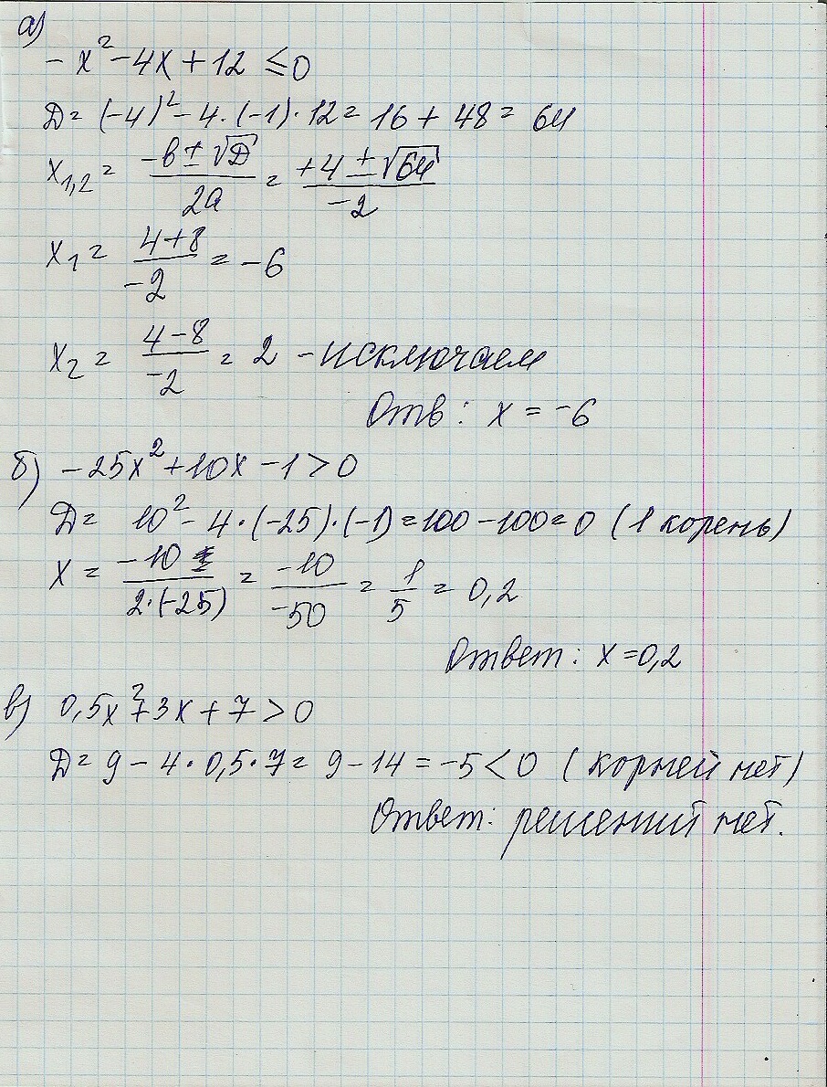
а) -x^2-4x+12 меньше либо равно 0
б) -25x^2+10x-1 > 0
в) 0,5x^2+3x+7 > 0
Ответы
Автор ответа:
0
Вот)....................................
Приложения:
Похожие вопросы
Предмет: Физика,
автор: oaknjcuhascvbhjdasfg
Предмет: Английский язык,
автор: milklena
Предмет: Право,
автор: Saule789
Предмет: Физика,
автор: Аревик29аа