Предмет: Алгебра,
автор: froz88
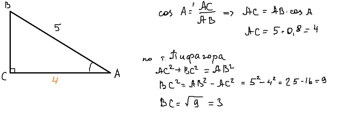
В треугольнике ABC угол C равен 90о, AB = 5, cosA = 0,8. Найдите BC
Ответы
Автор ответа:
0
а|
|
|
с|___в
соs это отношение прилежащего к гипотенузе следовательно
8/10=4/5
так как ав равно 5 то следовательно вс равно 4
|
|
с|___в
соs это отношение прилежащего к гипотенузе следовательно
8/10=4/5
так как ав равно 5 то следовательно вс равно 4
Автор ответа:
0
Если понравилось решение - нажимай "спасибо" и "лучший" (рядом с кнопкой "спасибо") :)
Приложения:
Похожие вопросы
Предмет: Математика,
автор: Аноним
Предмет: Алгебра,
автор: tttiiikkk
Предмет: Русский язык,
автор: chekalinkirill2006
Предмет: Математика,
автор: DianaMk
Предмет: Математика,
автор: Аноним