Предмет: Алгебра,
автор: Asuka76
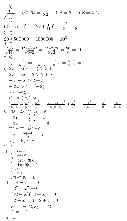
Помогите решить. Нужно срочно(((
Приложения:
Ответы
Автор ответа:
0
ВО!!!!!!!!!!!!!!!!!!!!!!!!!!!!!!!!!!!!!!!!!!!!!!!
Приложения:
Автор ответа:
0
спасибо большое:*
Автор ответа:
0
на здоровье)))
Похожие вопросы
Предмет: Математика,
автор: marina123vagner
Предмет: История,
автор: Grvv55
Предмет: История,
автор: azizanuperbayeva
Предмет: Химия,
автор: svetlanatimche1
Предмет: Математика,
автор: Sohia456