Предмет: Математика,
автор: Аноним
,,,,,,,,,,,,,,,,,,,,,,,,,,,,,,,,,,,,,
Приложения:
Ответы
Автор ответа:
0
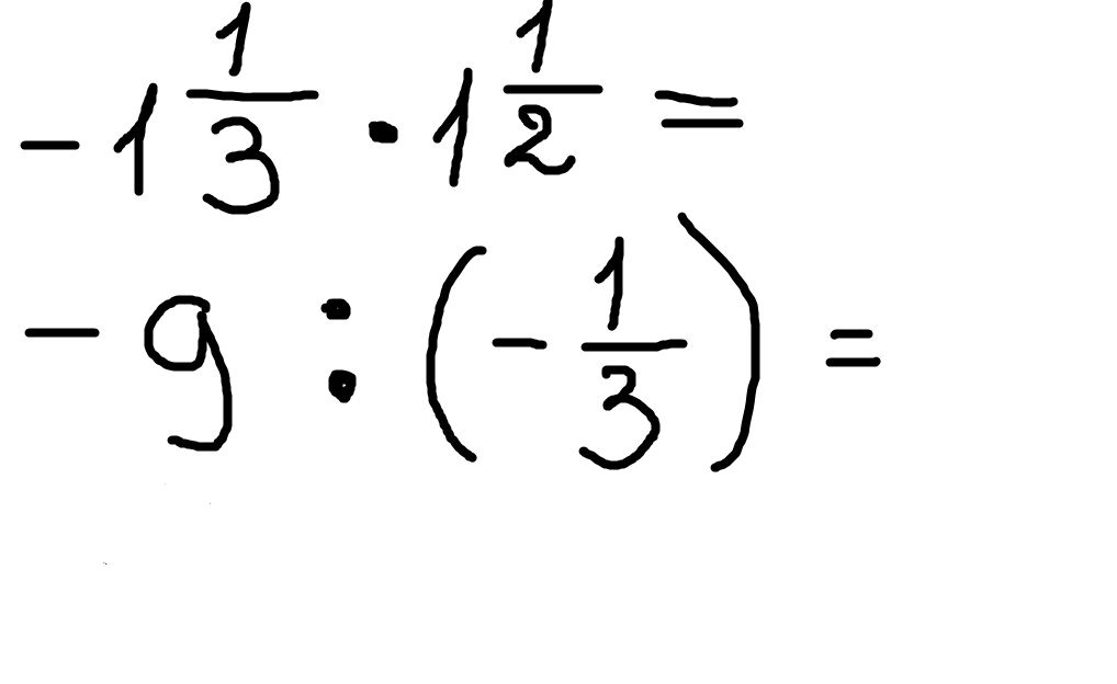
1) Ответ : -2
2) Ответ : -27
2) Ответ : -27
Автор ответа:
0
Я даю только ответ . Будет 27
Похожие вопросы
Предмет: Қазақ тiлi,
автор: Аноним
Предмет: Русский язык,
автор: VaxninEgor
Предмет: Математика,
автор: elenabarnaevask
Предмет: Физика,
автор: Холод16
Предмет: Геометрия,
автор: kurnosova2012