Предмет: Математика,
автор: tikhomirovaira
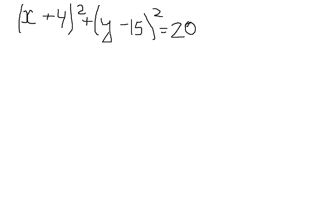
Дано рівняння кола.Чому дорівнює радіус кола?
Приложения:
Ответы
Автор ответа:
0
(х-х₁)^2 + (y-y₁)^2 = R^2
R^2 = 20
R=√20=2√5
R^2 = 20
R=√20=2√5
Похожие вопросы