Предмет: Химия, автор: oksana112

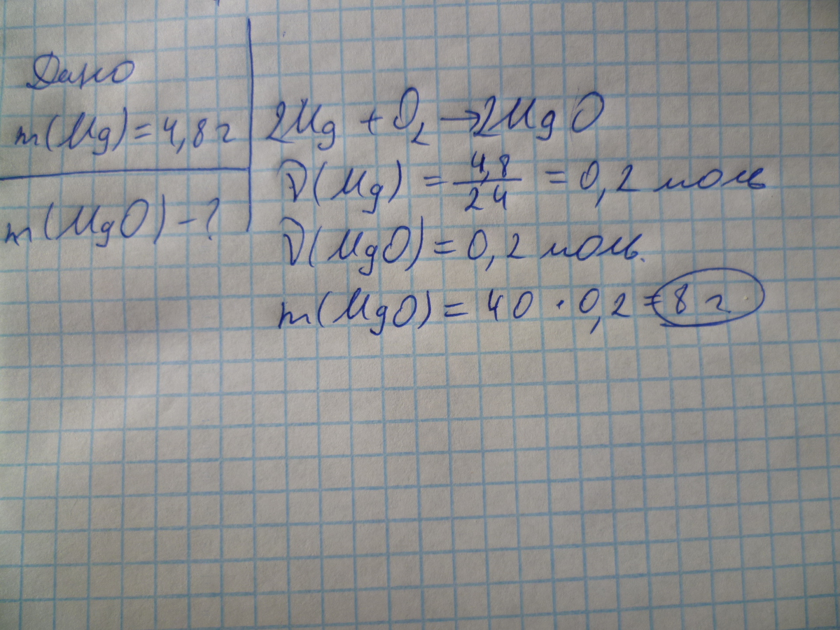
Сколько граммов оксида магния получится при взаимодействии магния массой 4,8 г. с кислородом!

Ответы

Автор ответа: vyacheslavkule
0
.......................................................................................................
Приложения:
Похожие вопросы
Предмет: Алгебра, автор: samaganovanazika