Предмет: Алгебра, автор: Аноним

(срочно надо) Упростите выражения :

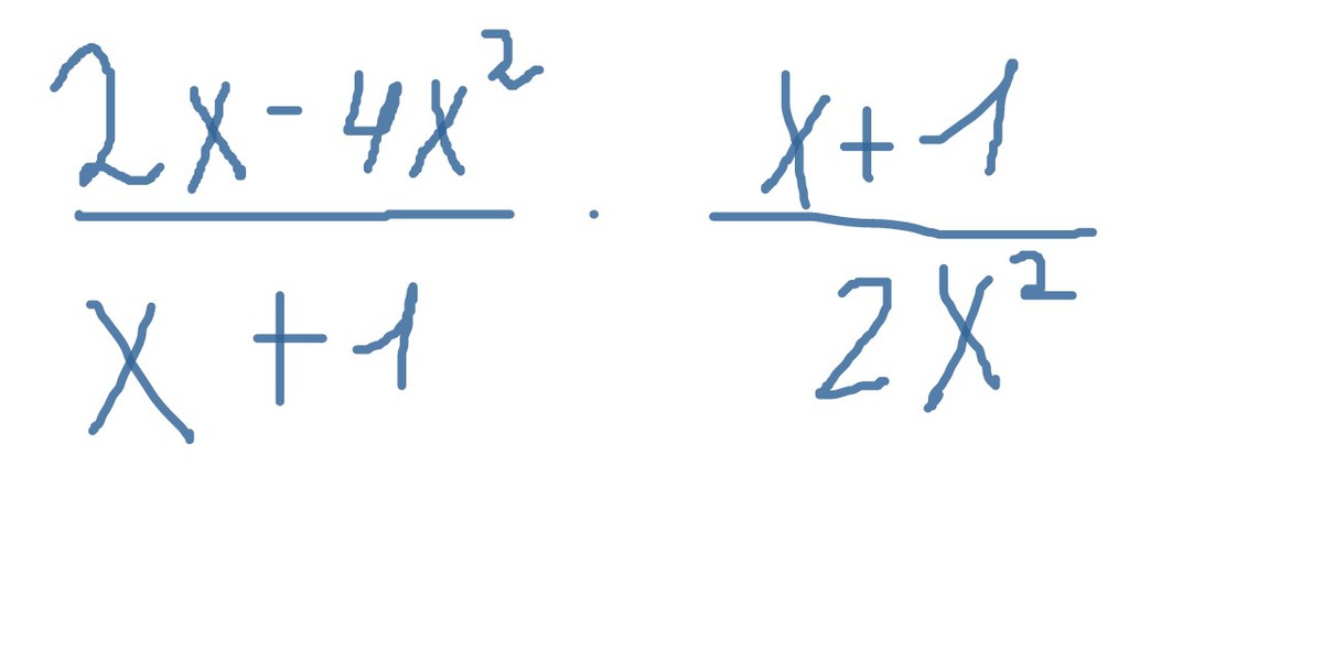
Приложения:

Ответы

Автор ответа: DimaPuchkov
0
 frac{2x-4x^2}{x+1} cdot  frac{x+1}{2x^2}  =  frac{2x-4x^2}{2x^2}=frac{2x cdot (1-2x)}{2x^2}= frac{1-2x}{x}
Похожие вопросы
Предмет: Биология, автор: dozenthalex266
7. У прокариотических клеток нет:
а) оформленного ядра б) ДНК в) оболочки
8. Гидрофобные вещества - это:
а) вещества хорошо растворимые в воде б) вещества плохо растворимые в воде
В) твердые минеральные вещества г) газообразные вещества
9. Многие процессы протекающие в клетках могут протекать только в:
а) кислой среде б) щелочной среде в) воздушной среде г) водной среде
10. Вирусы могут поразить:
а) только эукариотические клетки б) только прокариотические клетки
В) только клетки печени г) эукариотические и прокариотические клетки
11. Половые клетки содержать:а) Одинарный набор хромосом
б) двойной набор хромосом в) тройной набор хромосом г) мужские половые кл
Одинарный, женские - двойной.
12. ДНК является:
а) химической основой процесса размножения б) химической основой наследс
в) химической основой жизнедеятельности г) не несет никаких функций
13. Прокариоты возникли: а) несколько лет назад б) более 3,5 млрд. лет назад
в) не более 1 млн. лет назад г) более 3,5 млн. лет назад
14. Примером фагоцитоза является:
а) проникновение вируса в клетку б) разрушение белка под действием темпера
В) разрушение клеточной оболочки под химическим воздействием​
Предмет: Алгебра, автор: Nezuko11
Предмет: Английский язык, автор: asilbekadilov680