Предмет: Физика,
автор: oparish
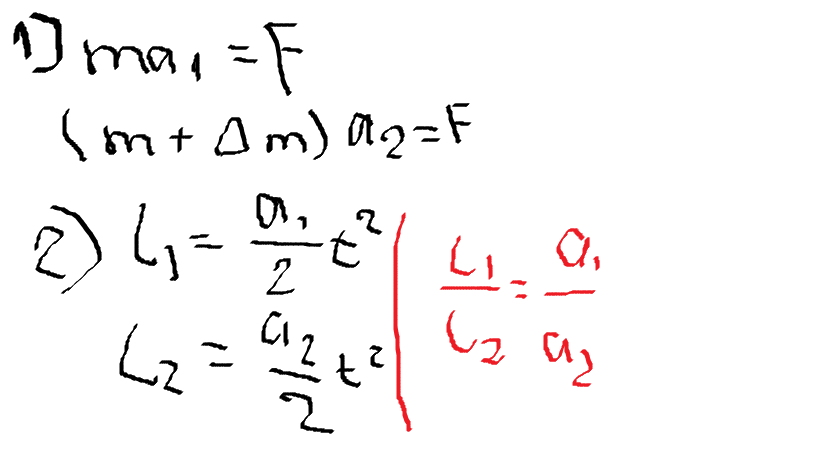
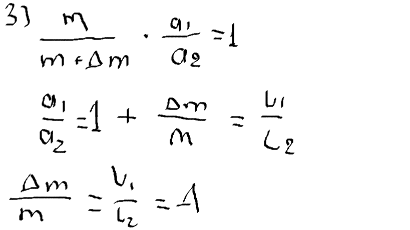
Под действием какой-то силы тележку, двигаясь из состояния покоя, прошла путь 40см. Когда на тележку положили груз 200г, то под действием той же силы и за то же время тележка прошла из состояния покоя путь 20см. Какая масса тележки?
Під дією якоїсь сили візок, рухаючись із стану спокою, пройшов шлях 40см. Коли на візок поклали вантаж 200г, то під дією тієї ж самої сили і за той самий час візок пройшов із стану спокою шлях 20см. Яка маса візка?
Ответы
Автор ответа:
0
Надеюсь мой почерк понятен ;)
Приложения:
Похожие вопросы
Предмет: Қазақ тiлi,
автор: verbickaae75
Предмет: Английский язык,
автор: pavlovaelena1585
Предмет: История,
автор: fghttgjtfbr
Предмет: География,
автор: sneg222010
Предмет: Химия,
автор: mashanikiforov