Предмет: Алгебра, автор: Kanyukadenis

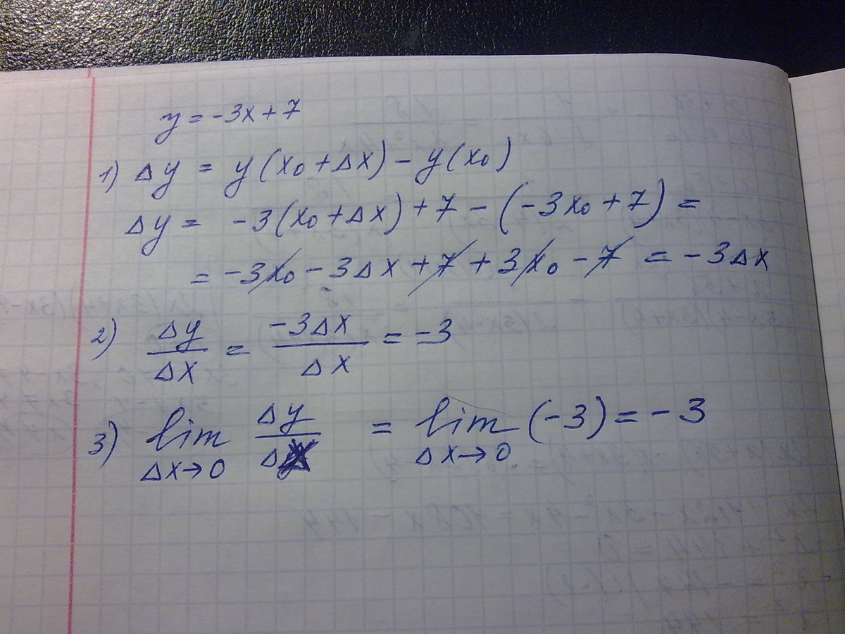
Для функции y=-3x+7 найдите:

1) Приращение функции Δy при переходе от точки x0 к точке x0+Δх

2) отношение приращение функции Δy к приращению аргумента Δх

3) передел отношения приращения функции к приращению аргумента при Δх─>0

Ответы

Автор ответа: Rechnung
0
..............................
Приложения:
Похожие вопросы
Предмет: Химия, автор: victoriapitushenko