Предмет: Физика,
автор: ludmilazubkova
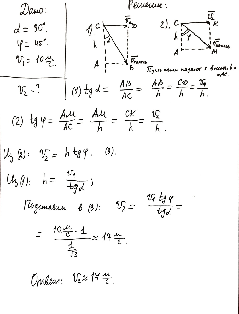
капли дождя падают под углом 30 градусов к вертикали при скорости ветра 10 м/с. Какова должна быть скорость ветра, чтобы капли падали под углом 45 градусов?
Ответы
Автор ответа:
0
Решение задачи во вложениях. Удачи)
Приложения:
Похожие вопросы
Предмет: ОБЖ,
автор: masanaasana
Предмет: Математика,
автор: serkovak2
Предмет: Математика,
автор: Аноним
Предмет: Математика,
автор: ivan1996197