Предмет: Алгебра,
автор: Irinatak
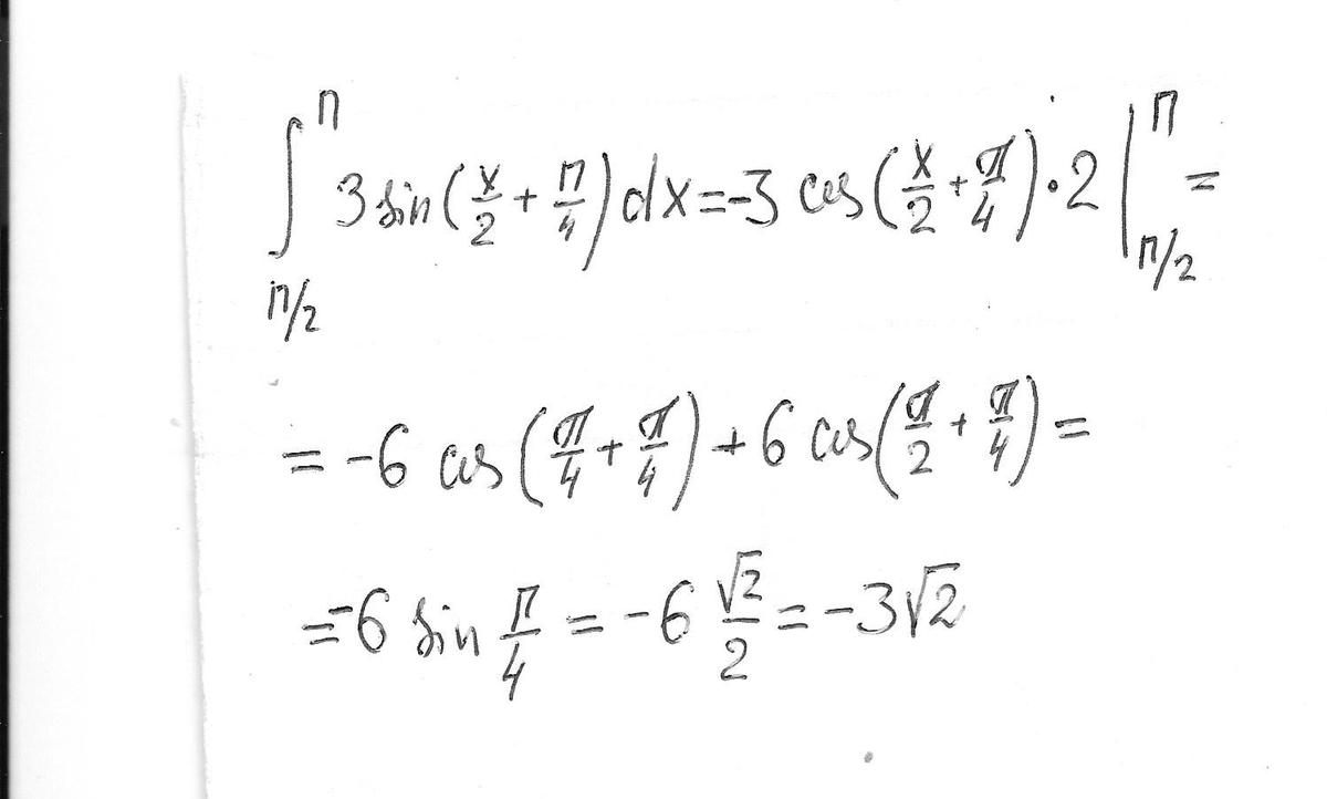
Вычислить интеграл
от pi до pi/2 = 3sin(x/2+pi/4) dx
Ответы
Автор ответа:
0
пример решил................................
Приложения:
Похожие вопросы
Предмет: Русский язык,
автор: Аноним
Предмет: Математика,
автор: Аноним
Предмет: Физика,
автор: angelinabelskaa754
Предмет: Математика,
автор: alfia2002mrak
Предмет: Биология,
автор: mineevavikt