Предмет: Алгебра,
автор: nani45li
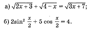
Помогите....и распишите пожалуйста... вот ответы:а)х=3
б)х=2п3+4пк
Приложения:
Ответы
Автор ответа:
0
\\\\\\\\\\\\\
Приложения:
Похожие вопросы
Предмет: Алгебра,
автор: 7darrid78
Предмет: Математика,
автор: ollya03088w
Предмет: Математика,
автор: Amir352
Предмет: Алгебра,
автор: superman116
Предмет: Химия,
автор: kocherginamashk