Предмет: Алгебра, автор: Anya981

Помогите, все что сможете!)

1. Найдите производную функции:

1) у=х^5

2) у=3

3) у=4/х

4)у=3-2х

5) у=2 корень из Х + 3sinx

6) y= tdx/х

7) у= (3х+5)^4

2. Найдите угол, который образует с положительным лучом оси абцисс касательная к графику функции: у= x^1010 - x^77 = x корень из 3 - 2 в точке Хо=1

3. Вычислите f`(п/3), если f(x) = 2sinX + 3x^2 - 2пx + 3

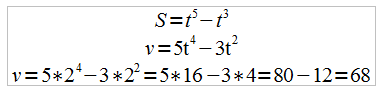
4. Прямолинейное движение точки описывается законом S = t^5 - t^3(м). Найдите её скорость в момент времени t = 2c.

 

Ответы

Автор ответа: МАрИйКа14
0

 

1)5x^4

2)0

3)-4/х^2

4)-2

5)  3корень х сosx+1

 ----------------------------

      корень х

6)не знаю.

7)324x^3+1620x^2+2700x+1500

 

Автор ответа: xLime
0

1 Задание просто пользовался формулами производных. Можно легко их найти в интернете. Файл znanija_1

http://profmeter.com.ua/communication/learning/course/course17/lesson251/

 

3. Не до конца понял задания. Файл znanija_2

Подставляешь и решаешь, как обычный пример. Нужно знать, что sin (pi/3) = sqrt (3) / 2 

Синус Пи на три равен корень из трех на два. 

 

4. Первая производная от S - это скорость. Вторая - ускорение. 

Подставляем в первую производную от S. 

Файл znanija_3

Приложения:
Похожие вопросы
Предмет: Алгебра, автор: Megos