Предмет: Математика,
автор: mandarinka4malinka
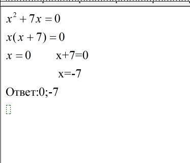
икс в квадрате +7х=0 Помогите срочняк как нужно!!!!
Ответы
Автор ответа:
0
==================================
Приложения:
Похожие вопросы
Предмет: Биология,
автор: irinakuciravska
Предмет: Другие предметы,
автор: strogiid9d9
Предмет: География,
автор: Аноним
Предмет: Физика,
автор: 1233122
Предмет: Биология,
автор: cristina4kaa