Предмет: Алгебра,
автор: rusik977
Найдите точки экстремума функции и определите их характер.
у=(х - 5)²(2х + 8)
Ответы
Автор ответа:
0
Решу через производную:
y'=(x^4-2x^2-3)'=4x^3-4x
4x^3-4x=0
4x(x^2-1)=0
4x=0 или x^2-1=0
x=0 или x=1 и x=-1
Функция определена при любых значениях xна(-∞;-1) функция убывает на (-1;0) функция возрастает на (0;1) снова убывает и на (1;+∞) возрастает.
Точки экстремиума: x min=-1 x max=1
Дальше ищем точки соприкосновения графика с осями X и Y
x^4-2x^2-3=0
x^2=y
y^2-2y-3=0
D=b^2-4ac=(-2)^2-4*1*(-3)=4+12=16 больше 0 следственно 2 корня уравнения
y=(2+4)/2 и y=(2-4)/2
y=3 и y=-1x^2=3 и
x^2=-1
x=кв.кор из 3 и минус кв. кор из 3
x=0,y=-3Точки касания найдены далее найдём есть ли у функции пределlim при x стремящимся к бесконечности = x^4/x^2-2x^2/x^2-3/x^2=x^2-2-3/x^2=∞ и по этим точкам строишь график , можешь ещё составить таблицу значений , чтобы как можно точнее построить график. Всё)Я думаю так....
y'=(x^4-2x^2-3)'=4x^3-4x
4x^3-4x=0
4x(x^2-1)=0
4x=0 или x^2-1=0
x=0 или x=1 и x=-1
Функция определена при любых значениях xна(-∞;-1) функция убывает на (-1;0) функция возрастает на (0;1) снова убывает и на (1;+∞) возрастает.
Точки экстремиума: x min=-1 x max=1
Дальше ищем точки соприкосновения графика с осями X и Y
x^4-2x^2-3=0
x^2=y
y^2-2y-3=0
D=b^2-4ac=(-2)^2-4*1*(-3)=4+12=16 больше 0 следственно 2 корня уравнения
y=(2+4)/2 и y=(2-4)/2
y=3 и y=-1x^2=3 и
x^2=-1
x=кв.кор из 3 и минус кв. кор из 3
x=0,y=-3Точки касания найдены далее найдём есть ли у функции пределlim при x стремящимся к бесконечности = x^4/x^2-2x^2/x^2-3/x^2=x^2-2-3/x^2=∞ и по этим точкам строишь график , можешь ещё составить таблицу значений , чтобы как можно точнее построить график. Всё)Я думаю так....
Автор ответа:
0
Ну смотри милая,если получу 2 найду xD Шучу спасибо)
Автор ответа:
0
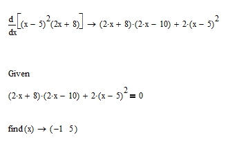
точки функции можно определить так.
Приложения:
Похожие вопросы
Предмет: История,
автор: CyperFalsch
Предмет: Алгебра,
автор: supervwyx
Предмет: Геометрия,
автор: lglg131117
Предмет: Математика,
автор: coollanasia
Предмет: Физика,
автор: andy999domino