Предмет: Математика,
автор: KrovostoK
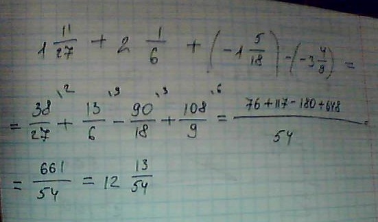
Вычислите: 1 11/27+2 1/6+(-1 5/18)-(-3 4/9)
Ответы
Автор ответа:
0
_______________ответ_____________
Приложения:
Похожие вопросы
Предмет: Музыка,
автор: KRASHKK
Предмет: Английский язык,
автор: saatbekpaev138
Предмет: Биология,
автор: Аноним
Предмет: Математика,
автор: русская25