Предмет: Алгебра,
автор: kayyylena
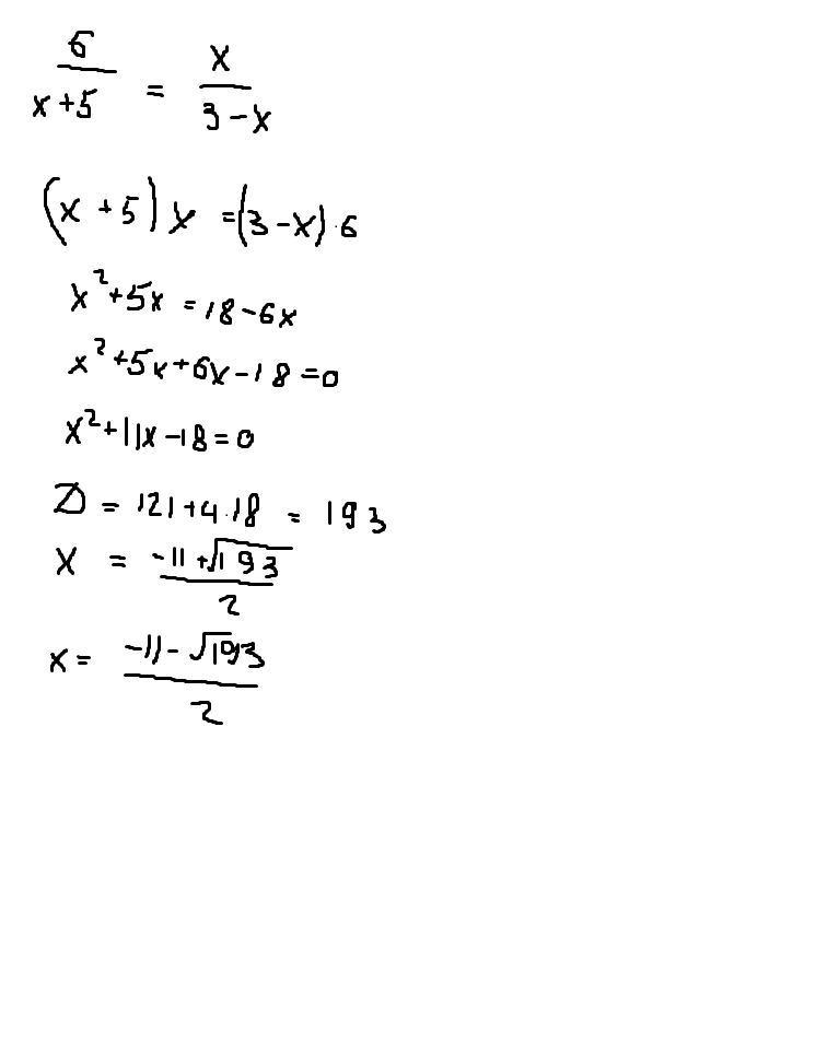
шесть делить на икс плюс пять равно х делить на три минус икс
Ответы
Автор ответа:
0
Если вы конечно это выражение имели ввиду..Потому что дескрименант получается не очень красивым
Приложения:
Похожие вопросы
Предмет: Русский язык,
автор: leonenkoarina12
Предмет: Литература,
автор: azharakimbekkyzy
Предмет: Литература,
автор: Аноним
Предмет: Математика,
автор: grishinakseniy2002