Предмет: Алгебра,
автор: stasha114
СРОЧНО!!! НУ ХОТЬ КТО-НИБУДЬ!!
Приложения:
Ответы
Автор ответа:
0
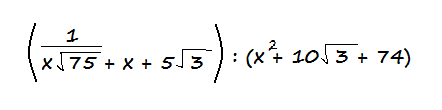
Обозначим 5√3=а
Тогда в числителе получим 1
в знаменателе
(ха+х+а)·(х+2а+74)= х²а+х²+ха+2ха²+2ха+2а²+74ха+74х+74а=
х²а+х²+2ха²+2а²+77ха+74х+74а=
5х²√3+х²+150х+150+385х√3 + 74 х +370√3=
(5√3+1)х² + (224+385√3)х + 150+370√3
Тогда в числителе получим 1
в знаменателе
(ха+х+а)·(х+2а+74)= х²а+х²+ха+2ха²+2ха+2а²+74ха+74х+74а=
х²а+х²+2ха²+2а²+77ха+74х+74а=
5х²√3+х²+150х+150+385х√3 + 74 х +370√3=
(5√3+1)х² + (224+385√3)х + 150+370√3
Похожие вопросы
Предмет: Математика,
автор: hmkal
Предмет: Астрономия,
автор: superb9
Предмет: Русский язык,
автор: ganikyzyamina
Предмет: Математика,
автор: salam290878
Предмет: Обществознание,
автор: nfkfrfyjxrf