Предмет: Алгебра,
автор: Nika1254
Решите пожалуйста ) там легко!
Приложения:
Ответы
Автор ответа:
0
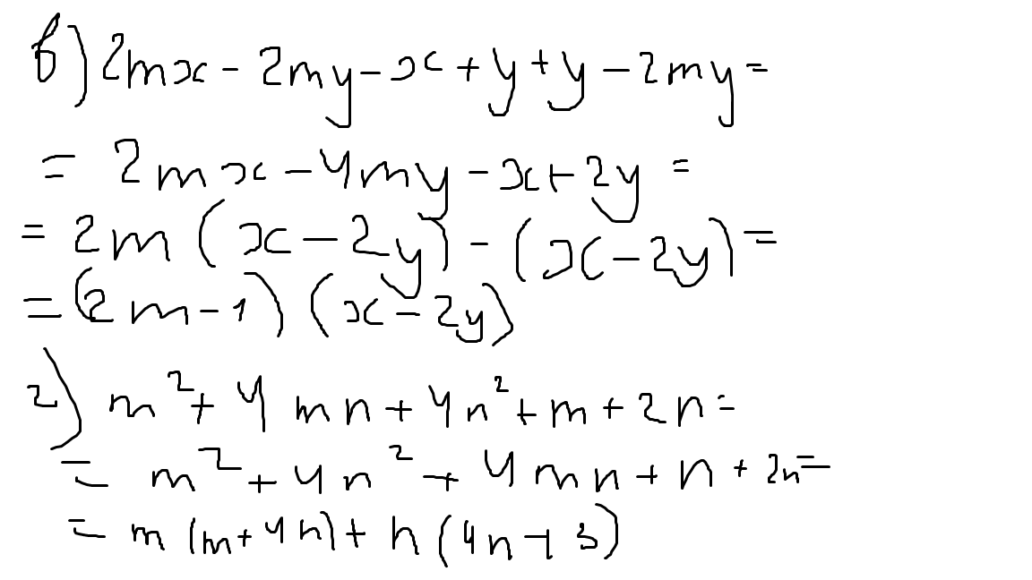
Получится вот так :)
Приложения:
Автор ответа:
0
откуда м и где 2n?
Похожие вопросы
Предмет: Английский язык,
автор: tulzhan8
Предмет: Геометрия,
автор: manatovarufina
Предмет: География,
автор: mashaspichkina
Предмет: Алгебра,
автор: Levitan2502231
Предмет: Математика,
автор: zolo005