Предмет: Алгебра,
автор: девочка12129675
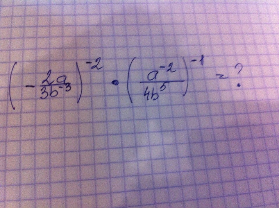
Помогите!
Не очень сложно!
Приложения:
Ответы
Автор ответа:
0
""""""""""" "" """"""""
Приложения:
Похожие вопросы
Предмет: Алгебра,
автор: litvinovavioletta200
Предмет: Алгебра,
автор: kaldarovadinara5
Предмет: Қазақ тiлi,
автор: lianagirl
Предмет: Алгебра,
автор: Butterflyyy
Предмет: Химия,
автор: miskisdiy