Предмет: Алгебра,
автор: msHolmes19
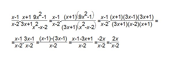
упростите выражение. желательно с решением. спасибо)
Приложения:
Ответы
Автор ответа:
0
================================
Приложения:
Похожие вопросы
Предмет: Математика,
автор: yliicovy
Предмет: Литература,
автор: hosimovasveta
Предмет: Музыка,
автор: elenaaalekseeva
Предмет: Биология,
автор: вася112
Предмет: Физика,
автор: 4udo