Предмет: Геометрия,
автор: Анжелика780
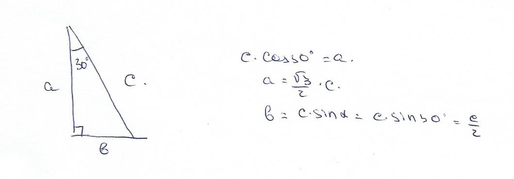
Зависимость между сторонами и углами прямоугольного треугольника с острым углом 30 градусов.
Ответы
Автор ответа:
0
смотри решение ниже) вроде я все зависимости расписала в буквах, но, если что, обращайся
Приложения:
Похожие вопросы
Предмет: Математика,
автор: afvaaaavfa
Предмет: Математика,
автор: leonleonovich
Предмет: История,
автор: Аноним
Предмет: Математика,
автор: nataliFilipova
Предмет: Геометрия,
автор: Ультромарин