Предмет: Геометрия,
автор: arturik2014valiArtur
1)В прямоугольном треугольнике гипотенуза равна 82, а один из острых углов равен 45∘ . Найдите площадь треугольника.
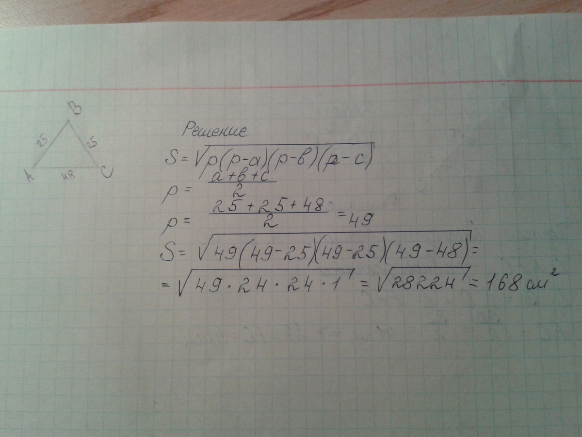
2)Боковая сторона равнобедренного треугольника равна 25, а основание равно 48. Найдите площадь этого треугольника.
Ответы
Автор ответа:
0
решение 2-ой задачи....
Приложения:
Похожие вопросы
Предмет: Алгебра,
автор: Аноним
Предмет: Українська мова,
автор: asiakhomenko
Предмет: Психология,
автор: eiv29
Предмет: Математика,
автор: ivanbragin1995
Предмет: Математика,
автор: ddddzzzz