Предмет: Алгебра,
автор: nonfag
Тригонометрия.Подскажите
Приложения:
Ответы
Автор ответа:
0
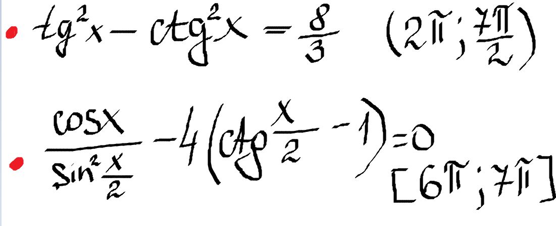
1)tg²x-1/tg²x=8/3
3tg^4x-8tg²x-3=0
tg²x=a
3a²-8a-3=0
D=64+36=100
a1=(8-10)/6=-1/3⇒tg²x=-1/3-нет решения
a2=(8+10)/6=3⇒tg²x=3⇒tgx=+-√3⇒x=+-π/3+πn
x=7π/3,11π/6,10π/3∈π;7π/2)
2)cosx/sin²x/2 -4(cosx/2-sinx/2)/sinx=0
cosx-4sinx/2(cosx/2-sinx/2)=0, sinx/2≠0
cos²x/2-sin²x/2-4sinx/2cosx/2+4sin²x/2=0
3sin²x/2-4sinx/2cosx/2+cos²x/2=0 /cos²x/2≠0
3tg²x/2-4tgx/2+1=0
tgx/2=a
3a²-4a+1=0
D=16-12=4
a1=(4-2)/6=1/3⇒tgx/2=1/3⇒x/2=arctg1/3+πn
a2=(4+2)/6=1⇒tgx=1⇒x=π/4+πn
x=6π+arctg1/3; 25π/4∈[6π;7π]
3tg^4x-8tg²x-3=0
tg²x=a
3a²-8a-3=0
D=64+36=100
a1=(8-10)/6=-1/3⇒tg²x=-1/3-нет решения
a2=(8+10)/6=3⇒tg²x=3⇒tgx=+-√3⇒x=+-π/3+πn
x=7π/3,11π/6,10π/3∈π;7π/2)
2)cosx/sin²x/2 -4(cosx/2-sinx/2)/sinx=0
cosx-4sinx/2(cosx/2-sinx/2)=0, sinx/2≠0
cos²x/2-sin²x/2-4sinx/2cosx/2+4sin²x/2=0
3sin²x/2-4sinx/2cosx/2+cos²x/2=0 /cos²x/2≠0
3tg²x/2-4tgx/2+1=0
tgx/2=a
3a²-4a+1=0
D=16-12=4
a1=(4-2)/6=1/3⇒tgx/2=1/3⇒x/2=arctg1/3+πn
a2=(4+2)/6=1⇒tgx=1⇒x=π/4+πn
x=6π+arctg1/3; 25π/4∈[6π;7π]
Похожие вопросы
Предмет: Математика,
автор: cba1
Предмет: Английский язык,
автор: alisha22889
Предмет: Химия,
автор: ninaaverinaaaa
Предмет: Химия,
автор: Танечка2015
Предмет: Алгебра,
автор: kulyoksuliko